Wave energy extraction is complex and many device designs have been proposed. All types of sea waves electricity stations are expensive.
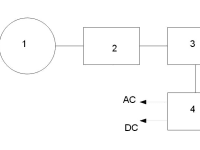
This device is simple and can be made by every handy man. The device is suitable for yachts or ocean research vessels. Main part is permanent magnet alternator (Fig. 1), pendulum is attached to rotor shaft, so the rotor (1) is not spinning, only moving right and left in sea wave rhythm. Movement is relatively slow, so number of poles of the alternator must be high. Magnetic flux in stator (2) is changing and in its coils electromotive force is generated. Alternator output voltage and as well as frequency is not stable because movement of the pendulum depends on velocity of sea waves and there height. Mechanical part (alternator and pendulum) of the device is inside fin keel of yacht or research vessel. Electronic part (Fig. 2) consists of rectifier with smoothing capacitor (2), electronic control unit and storage battery (3), DC/DC converter and DC/AC converter (4).
Like this entry?
-
About the Entrant
- Name:Zdenek Jedlicka
- Type of entry:individual
- Profession:
- Number of times previously entering contest:10
- Zdenek's favorite design and analysis tools:Computer, paper&pencil, physical models
- For managing CAD data Zdenek's company uses:developed programs
- Zdenek's hobbies and activities:Astronomy, photografy, electronics
- Zdenek belongs to these online communities:LinkedIn
- Zdenek is inspired by:To improve life and save energy
- Patent status:none

