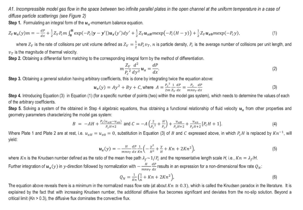
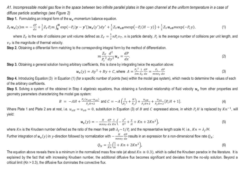
We have invented an advanced method for modeling transport processes in fluids. The method is adapted to model gas flow, including dilute gas flow at high Knudsen numbers. Instead of modeling based on using an infinitesimal fluid element of a continuous medium, the method approximates fluid flow as a model gas flow.
The method is based on if each of a plurality of particles, which compose the model gas, travels with a probability between any of two points in space occupied by the model gas by following a ballistic trajectory governed by a law of motion in free space and treating each of the plurality of ballistic particles as a property carrier transporting one or more of mass, momentum, and energy between the points of consecutive collisions.
The major steps of the method are stated in the flow chart (see Figure 1).
A new generation of Computational Fluid Dynamics (CFD) software products, which are based on the proposed analytical tools and method, is anticipated having capability to modeling gases from the continuum flow regime (Kn<0.01) to the free molecular flow regime (Kn>10), considerably higher accuracy of prediction, and lower computation cost.
The most significant improvements in CFD technology by the method disclosed above will advance these applications and industries:
1. Efficient and accurate modeling of transport processes in rarefied gases will benefit airspace industries, astrophysics, microelectronics and nano-electronics processing, and plasma processing.
2. Enhancement in time resolution of computations for unstable flows will advance applications for turbulence, shock wave, and detonation analysis, which will boost supersonic aircraft and spacecraft development.
3. Innovative quantitative interpretation of the aging factor will enhance applications for radiation and nuclear physics, physics of chemical reactions, and plasma physics processing.
4. Finally, an improvement associated with the disclosed method of considering a pre-established or known dynamic history of the fluid system during a pre-initial period will benefit any application by providing increased certainty and accuracy of prediction of the fluid system evolution.
We have verified our approach by formulating integro-differential balance equations for mass and momentum being transported by the plurality of converging and diverging ballistic particles in each of a plurality of non-moving points in space occupied by the model gas at a given time, and deriving corresponding approximated differential forms of mass and momentum balance equations, respectively. That our reduced differential forms look identically to the well-known Navier-Stokes equations, prove the validity of the formulation of the integro-differential balance equations according to the method and support the conclusion that the formulated integro-differential forms of the balance are implicit solutions for corresponding Navier-Stokes equations. It also suggests that a physical problem described by Navier-Stokes equations may be represented by the proposed matching vector integro-differential forms of the mass, momentum, and energy balance, which can be solved by computer implemented methods with no difficulty.
In the attached visual illustrations, we demonstrate an analytical solution for one-dimensional steady-state flow obtained by our unique and elegant method.
Like this entry?
-
About the Entrant
- Name:Nikolai Kislov
- Type of entry:individual
- Patent status:pending


