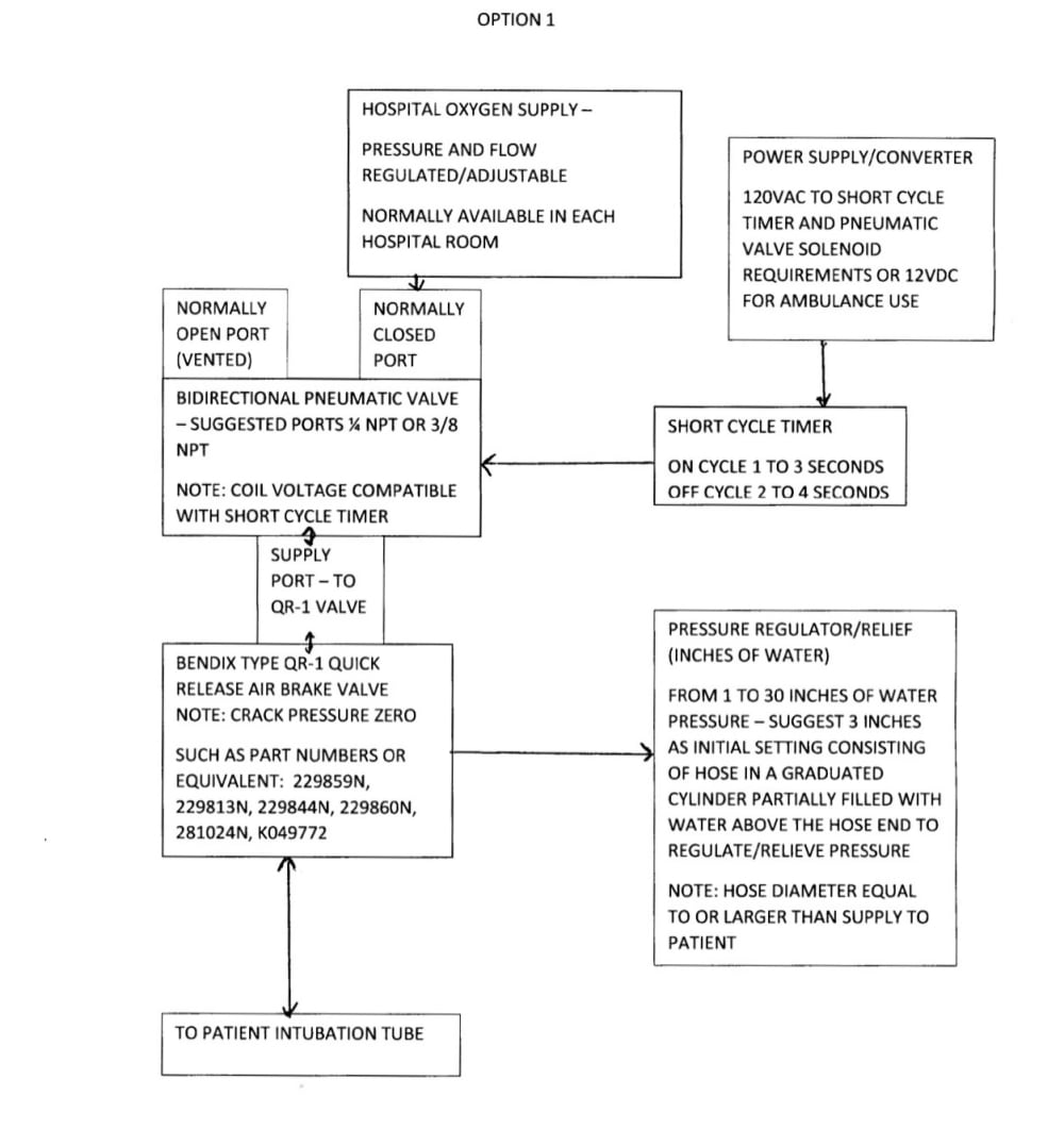
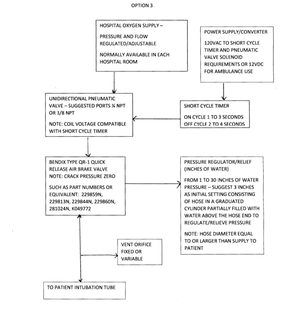
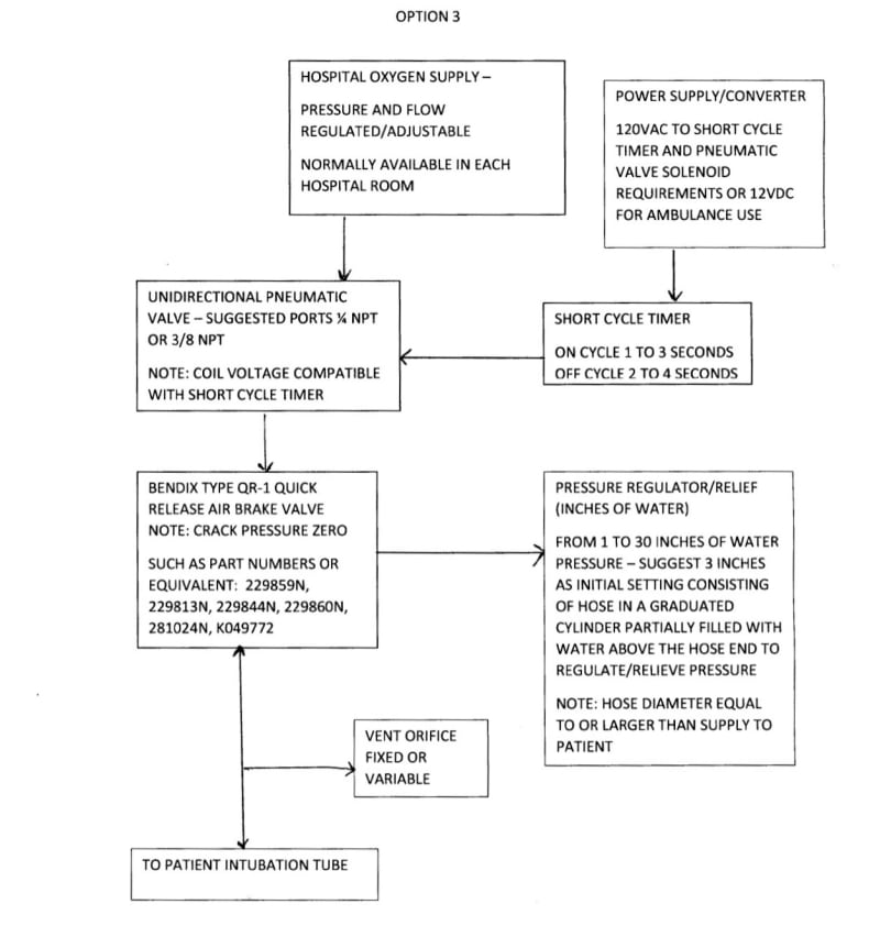
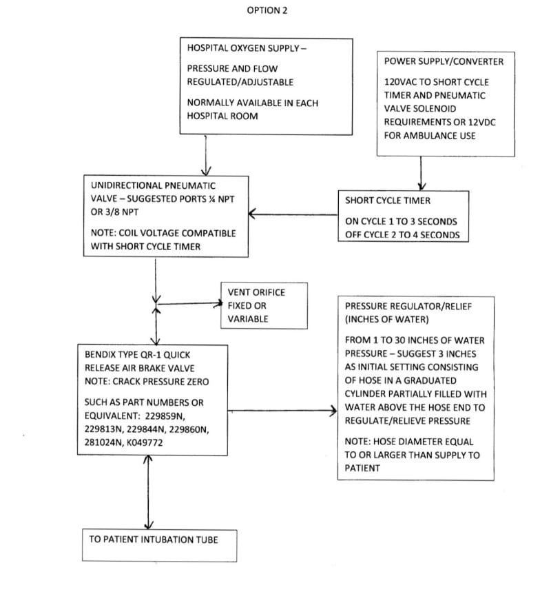
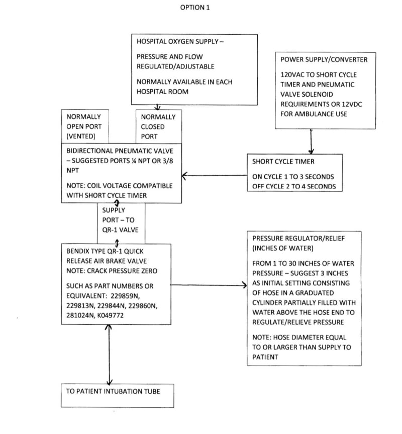
This is a description of a Ventilator using common parts with the objective of the part costs being under $200 retail/wholesale. Each Hospital room normally has an oxygen supply with pressure and flow regulation. This entry uses the available oxygen system and 120VAC power supply in the room. The primary components of the entry are: a pneumatic valve, a short cycle timer, a Bendix QR-1 type air brake quick release valve, a water column, an orifice(fixed/adjustable) where required plus lines and fittings to connect the parts. This is low tech and most parts are already available in quantities of 100,000 or more. It is simple to assemble and should have a life above a million cycles. Three basic configurations are shown for flexibility of design/available components.
Like this entry?
-
About the Entrant
- Name:Edward Dedrick
- Type of entry:individual
- Software used for this entry:N/A - other than Word and PDF for communication
- Patent status:none


