
NASA Langley Research Center has developed a family of imide materials that exhibit glass transition temperatures from 240C to 340C. Two resins from this family, designated as PETI-RTM and PETI-RI, were originally developed to meet the demanding requirements for future high-speed aircraft. These materials allow the manufacture of complex composite parts with excellent mechanical properties, including high toughness and long-term thermal oxidative stability. These resins have been engineered to exhibit low process viscosities to enable parts fabrication via resin transfer molding (RTM) and resin infusion (RI). Composites fabricated using these resins provide mechanical properties comparable to bismaleimide-based composites while exhibiting superior temperature performance. Low-weight composites based upon these PETI resins could replace some titanium and aluminum alloy parts currently used in aerospace structures and engines.
Benefits
* Excellent mechanical properties
* Improved elevated temperature performance and long-term thermal stability
* Processing advantages -- Developed specifically for resin transfer molding and resin infusion -- No volatiles -- Low melt viscosity -- Solvent-free processing
Applications
* Structural parts for aerospace vehicles
* Engine components for aerospace vehicles
* Automotive exhaust parts
* Automotive engine components
* Industrial parts exposed to high temperatures
* Electronic parts
The Technology
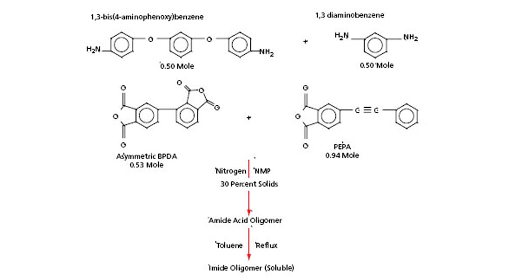
As part of the NASA High Speed Research Program to develop technology for economically viable Mach 2.4 civil transport, Langley Research Center developed PETI-5 as the primary composite resin matrix and adhesive. Program needs, however, required the development of materials compatible with RTM and RI processing. Although PETI-5 has excellent composite processability, its melt viscosity is too high to fabricate composite parts using these techniques. LaRC researchers went on to develop PETI-RTM and PETI-RI composites, which provide mechanical and thermal properties comparable to PETI-5 while providing easier processing via RTM and RI. As manufacturing technologies, RTM and RI offer lower cost better dimensional stability, and other attractive features over the use of traditional prepreg processes.
-
Awards
-
2016 Top 100 Entries
Like this entry?
-
About the Entrant
- Name:Kimberly Middleton
- Type of entry:teamTeam members:NASA Langley Technology Gateway
- Patent status:patented

