
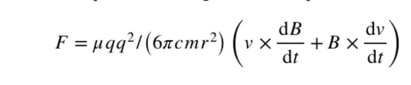
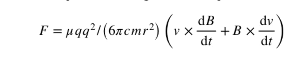
The reactionless drive is supposed to be impossible. Until now it has been science fiction. While NASA has tried to measure thrust using their version of an electromagnetic engine even their device requires intricate measuring devices to reach conclusions as to whether it functions. Our reactionless drive is different. The physics are simple and rely on the Abraham Lorentz force to generate electromagnetic momentum.
The design is completely novel and does not have a competing design. It has been previously understood as impossible but due to a unique electromagnetic configuration illustrated in figure 1 and figure 2 the Abraham Lorentz force may be harnessed in a practical and visible way. The momentum is carried by a rod placed between two electromagnets one active and one passive. This rod is connected to a spring to return the rod into its original position. Due to conservation of momentum the active coil will generate momentum at the electron level.
It is remarkable that this product has been demonstrated to work and just needs optimization. The manufacturability of the product is simple and can be done in the existing conductor and superconductor market. The power supply for the engine is also already on the market. This engine has been demonstrated in the video attached to a level visible to the eye so that there is no question it is working.
The drive has high marketability across any application which requires the application and generation of momentum. It shatters what should be considered possible in engineering solutions to propulsion without propellants which will revolutionize everything from deep space to aerospace to underwater and cislunar applications.
In deep space the prospect of generating momentum without propellant enables spacecraft to be lighter and travel exponentially farther distances using solar or fusion electric power. Removing the need to carry fuel will revolutionize space travel.
In aerospace the generation of momentum in aircraft will also change the way aircraft can be maneuvered and even propelled. This momentum generator is the optimization way to generate horizontal momentum in an aircraft without using a propellant and enough momentum can be generated using high enough power sources. The main limiting factor is cooling the system
Finally in cislunar and low gravity applications immediate use may be found in precision maneuvering of satellites as well as generation of downward momentum for Lowe gravity vehicles in order to better maintain friction as well as frictionless vehicles which generate horizontal momentum internally.
In underwater defense applications the use of a internal momentum drive would improve submarine invisibility. It would also enable better deep sea exploration as externally rotating motors and engines which are exposed to differential pressure changed will be avoided with momentum completely and silently internally generated.
This engine has already been demonstrated to be able to move a small toy car. It’s scale up will require a larger power supply and optimization will include tuning the power voltages as well as optimizing aspects of the passive coil. Addition super conductor materials may also be applied to research advanced materials as a reflector. A liquid momentum carrier will also be tested. The applications of this engine are truly revolutionary and the implementation with industry adoption can be relatively quick since existing technologies and platforms can be simply modified and augmented as new more complete systems are developed using this new engine concept.
Video
-
Awards
-
2022 Top 100 Entries
Like this entry?
-
About the Entrant
- Name:Ed Chen
- Type of entry:teamTeam members:Ed Chen
Tara Cronin - Software used for this entry:Matlab
- Patent status:none


