Thorough studies over more than 50 years on a large number of materials have evidenced their composite structure. In particular, water and aqueous solutions contain a specific inductive element able to exchange energy with Human Mental Field (HMF) and Bio-fields (BF) generated by flora and fauna. The specific charge of an electrolytic capacitor induced by HMF and BF is a particular application of these findings substantiated by a huge number of experiments and can be reproduced by anyone. This is similar to the God Covenant described in the Bible.
All such experiments are thoroughly described in GDF Databanks Bulletin (ISSN 1453-1674) and posted on my website www.gdfdatabanks.ro (see MENTAL TECHNOLOGY section).
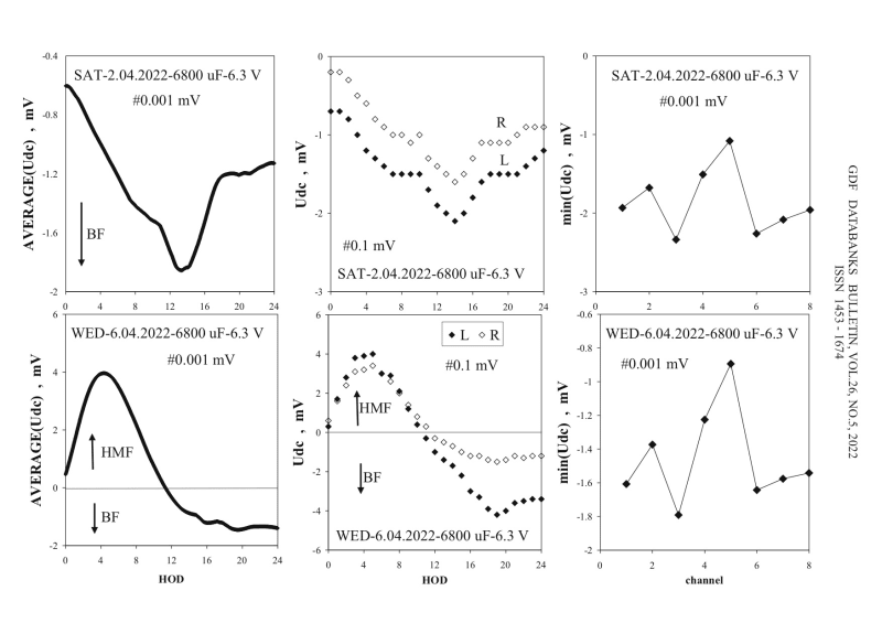
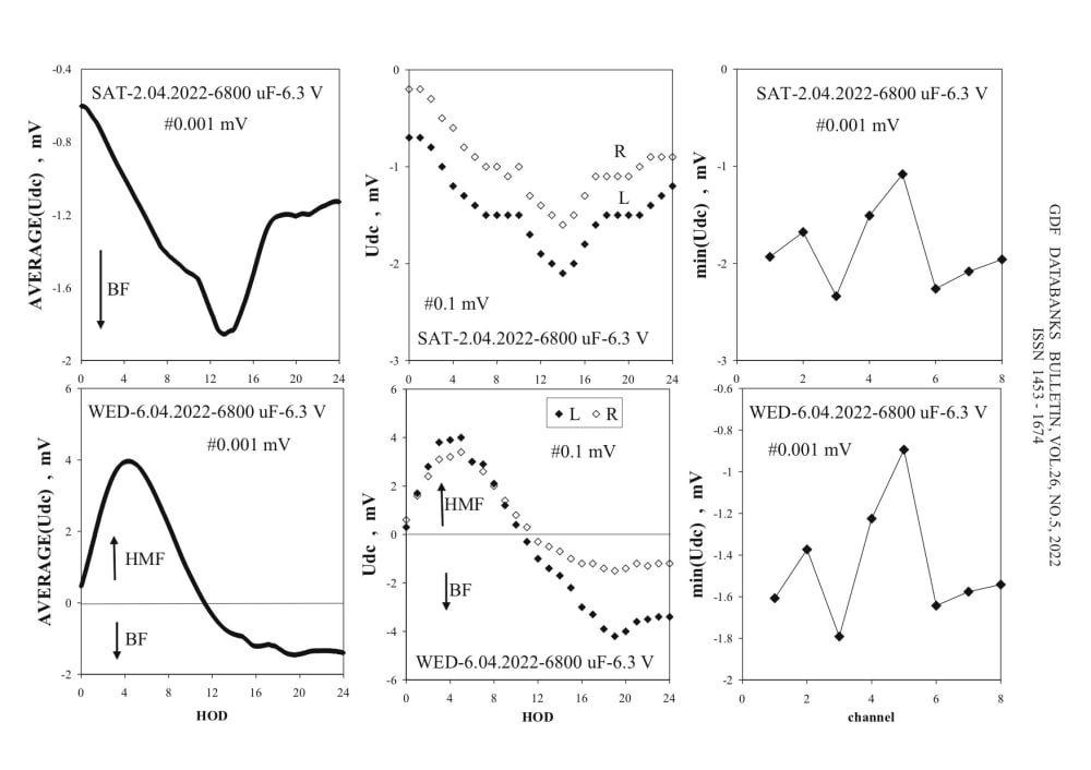
The attached figures show simultaneous experiments on 10 electrolytic capacitors of 6800 uF/6.3V over two days 24 hours each, namely 8 by using a data logger with 0.001 mV accuracy at 1-minute step (Figure 1) and two identical multimeters with 0.1 mV accuracy at 1-hour step (Figure 2). Figure 3 shows the obtained results.
Like this entry?
-
About the Entrant
- Name:Gheorghe Dragan
- Type of entry:individual
- Patent status:pending


